|
公司基本資料信息
|
|||||||||||||||
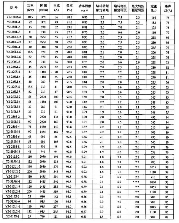
Y2-631,Y2-711,Y2-802,Y2-90S,Y2-100L2,Y2-315M,Y2-355L,三相異步電動機







Y2-631-2,Y2-632-2,Y2-631-4,Y2-632-4,Y2-711-2,Y2-712-2,Y2-711-4,Y2-712-4,
Y2-711-6,Y2-712-6,Y2-801-2,Y2-802-2,Y2-801-4,Y2-802-4,Y2-801-6,Y2-802-6,
Y2-801-8,Y2-802-8,Y2-90S-2,Y2-90L-2,Y2-90S-4,Y2-90L-4,Y2-90S-6,Y2-90L-6,
Y2-90S-8,Y2-90L-8,Y2-100L-2,CCLAIR,Y2-100L1-4,Y2-100L2-4,Y2-100L-6,Y2-100L1-8,
Y2-100L2-8,Y2-112M-2,Y2-112M-4,Y2-112M-6,Y2-112M-8,Y2-132S1-2,Y2-132S2-2,
Y2-132S-4,Y2-132M-4,Y2-132S-6,Y2-132M1-6,Y2-132M2-6,Y2-132S-8,Y2-132M-8,
Y2-160M1-2,Y2-160M2-2,Y2-160L-2,Y2-160M-4,Y2-160L-4,Y2-160M-6,Y2-160L-6,
Y2-160M-6,Y2-160M1-8,Y2-160M2-8,Y2-160L-8,Y2-180M-2,Y2-315M-8,Y2-315L1-8,
Y2-315L2-8,Y2-315S-10,Y2-315M-10,Y2-315L1-10,Y2-315L2-10,Y2-355M-2,Y2-355L-2,
Y2-355M-4,Y2-355L-4,Y2-355M1-6,Y2-355M2-6,Y2-355L-6,Y2-355M1-8,Y2-355M2-8,
Y2-355L-8,Y2-355M1-10,Y2-355M2-10,Y2-355L-10,